Repictblog

يؤثر مجال كهربائي بقوة مقدارها



اختبار علوم الفترة الثالثة للصف الثاني اختبار رياضيات رابع ابتدائي الفصل الثاني الفترة الرابعة اختبار علوم رابع ابتدائي الفترة الثالثة اختبار رياضيات ثاني ثانوي الفصل الاول مع الاجابة اختبار رياضيات ثالث ابتدائي الفترة الاولى اختبار رياضيات للصف الثالث الابتدائي الفترة الاولى 1439 اختبار فيزياء اول ثانوي مقررات شهري اختبار علوم سادس الفترة الاولى

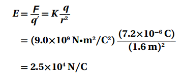
المجالات الكهربائية ص 156 المصدر السعودي

يؤثر مجال كهربائي بقوة مقدارها 2 0x10 4 N في شحنة اختبار موجبة مقدارها 5 0x10 6 C ما مقدار المجال الكهربائي ادعمني دوت كوم

حل المسائل التدريبية لدرس توليد المجالات الكهربائية وقياسها المجالات الكهربائية العلم نور

حل المسائل التدريبية لدرس توليد المجالات الكهربائية وقياسها المجالات الكهربائية العلم نور

المجالات الكهربائية ص 156 المصدر السعودي

وضعت شحنة سالبة مقدارها 2 0x10 8 C في مجال كهربائي فتأثرت بقوة مقدارها 0 060 N في اتجاه اليمين ادعمني دوت كوم

السؤال 1 فصل المجالات الكهربائية درس توليد المجالات الكهربائية وقياسها الصف الثالث الثانوي فيزياء Youtube

شدة المجال الكهربائي مسائل تدريبية 1 Youtube

المجالات الكهربائية ص 156 المصدر السعودي

حل المسائل التدريبية لدرس توليد المجالات الكهربائية وقياسها المجالات الكهربائية العلم نور

تقويم الفصل الأول المجالات المغناطيسية ص 34 المصدر السعودي

شدة المجال واتجاهه تؤثر قوة كهربائية مقدارها 1 50x10 3 N في اتجاه الشرق في شحنة اختبار موجبة ادعمني دوت كوم

المجالات الكهربائية ص 156 المصدر السعودي

وضعت شحنة موجبة مقدارها 3 0x10 7 C في مجال كهربائي شدته 27 N C يتجه الى الجنوب ما مقدار القوة المؤثرة في الشحنة ادعمني دوت كوم

حل المسائل التدريبية لدرس توليد المجالات الكهربائية وقياسها المجالات الكهربائية العلم نور

وضعت كرة بيلسان وزنها 2 1x10 3 N في مجال كهربائي شدته 6 5x104 N C يتجه راسيا الى اسفل ادعمني دوت كوم

المجالات الكهربائية ص 156 المصدر السعودي

حل المسائل التدريبية لدرس توليد المجالات الكهربائية وقياسها المجالات الكهربائية العلم نور

كتاب الفيزياء الدرس 2 1 توليد المجلات الكهربائية وقياسها صفحة 40 مسائل تدريبية المساعد الشامل

حل مادة فيزياء كتاب الطالب الفصل السادس درس المجالات الكهربائية للصف الثالث الثانوي الفصل الدراسي الأول

Dmca Contact Privacy Policy Copyright